N88-BASICで地球内部の重力
2022/1/10(月)
N88-BASICで地球内部の重力
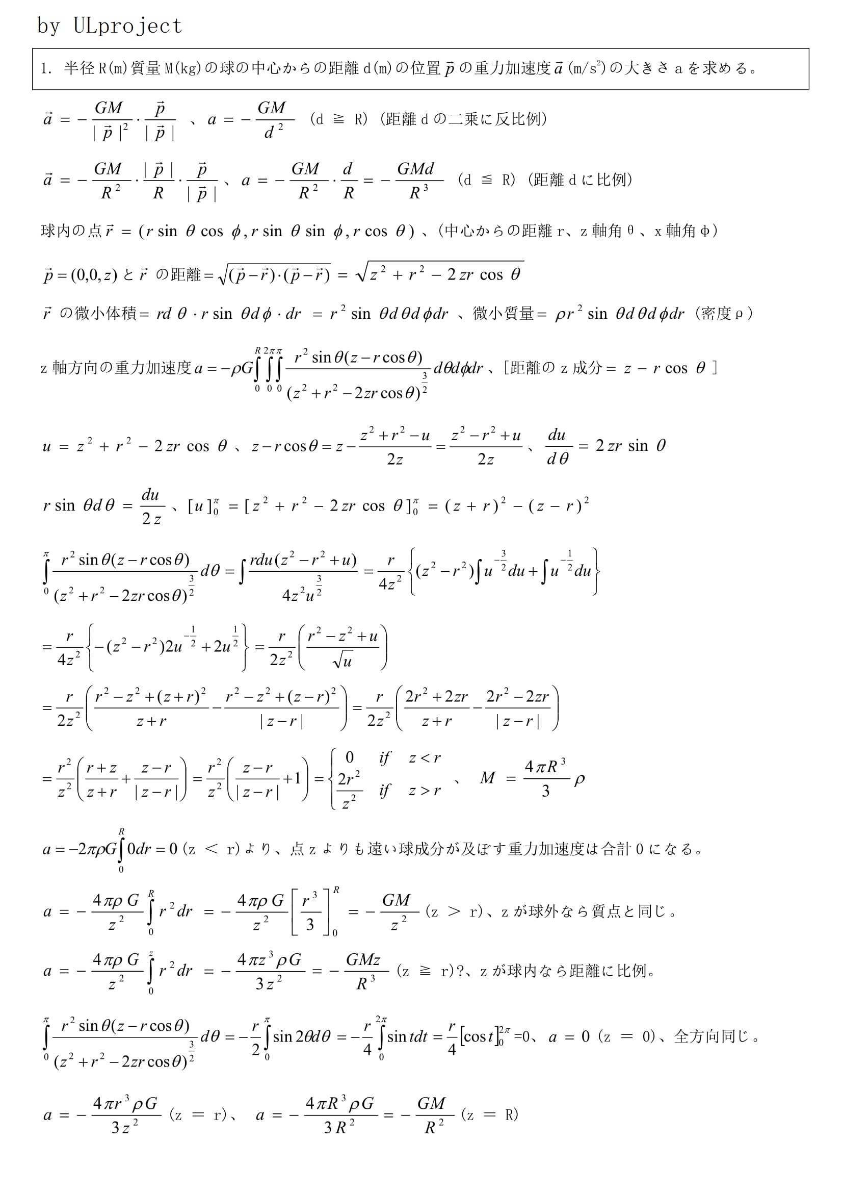
最後に書いた積分結果は
地球内部にいる時、自分より上
(中心から自分までの距離を半径とする球の外側)
の成分は無くても重力は変わらないという結果です
つまり、自分より下の成分が無ければ
(殻の内部の空洞にいる時は)
無重力になります
中心からの距離zの地球内部にいるとし
地球からの距離rの物質を考えると
zより上の物質(r > z)が及ぼす重力は釣り合って0
になるという事が分かります
ただし、自分より上の物質は下の物質の重力により
引っ張られているのでトンネルが無ければ
自分は圧力で押しつぶされます
(地球内部は高温高圧になります)
地上にいて、自分の上に60kgの重りが
乗っているとき、自分が地球に引かれる
力が重力で、重りが自分を押す力が圧力
です
地球内部で押しつぶされるのは、自分に対する
重力ではなく、圧力によるものです
よってzより下の物質が及ぼす重力のみ考えれば
良いことになります
半径zの球の表面の重力加速度aは
半径Rの地球の重力加速度gを使って
g = GM/R2 (万有引力定数G,地球の質量M)
a = GM(z3/R3)/z2 = zGM/R2 / R
= g(z/R)
となり
z = R(地表)でa = g
z = 0(中心)でa = 0
になり、間はzに比例します
ここでa,gは大きさを表し、
方向は考えていません
地球の中心を通る真空トンネル(空気抵抗なし)
を開通させて、入ると、
中心からの距離に比例した向心力を受けるので
単振動することになります
角速度ω, 振幅A, 時間t, 変位x
単振動の位置x = Asinωt
単振動の速度v = dx/dt = ωAcosωt
単振動の加速度a = dv/dt = -ω2Asinωt
= -ω2x
トンネル内の加速度a = -g(z/R) (方向有の式)
x,zは中心からの距離で同じなので
ω = √(g/R)
周期T = 2π/ω = 2π√(R/g)
R ≒ 6.3×106 m, g ≒ 9.8 m/s2 より
T = 5037.… 秒 = 83.95 分
≒ 84分 (往復)
空気抵抗や摩擦抵抗などがあれば
どんどん振幅が小さくなり
最終的に中心で止まります
万有引力(N)=質量(kg)×重力加速度(m/s2)です
重力や体重は万有引力と遠心力の合力ですが
遠心力の影響は、赤道と北極で
1%にも満たない差なので無視しても
大した影響ではないと思います
または、北極から南極までのトンネルで
考えれば良いと思います
地球の中心部は高温高圧なので
耐圧耐熱トンネルが無ければ
圧死、熱死するでしょう
多分実現不可能なトンネルです
理論的なお遊びだと思って
気楽に遊んで見て下さい
表示内容
速度と加速度の表示(上向きが正)
ω = √(g/R)
R ≒ 6.3×106 m, g ≒ 9.8 m/s2
速度はωt = 0 (,π)の時、絶対値最大
A = Rなので
v = ωAcosωt
= ωA = R√(g/R) = √(gR)
≒ 7857 m/s
≒ 2万8千 km/h (, -2万8千 km/h)
加速度はωt = π/2 (,3π/2)の時、絶対値最大
A = Rなので
v = -ω2Asinωt
= -ω2A = -Rg/R = -g
≒ -9.8 m/s2 (, 9.8 m/s2)
最後に書いた積分結果は
地球内部にいる時、自分より上
(中心から自分までの距離を半径とする球の外側)
の成分は無くても重力は変わらないという結果です
つまり、自分より下の成分が無ければ
(殻の内部の空洞にいる時は)
無重力になります
中心からの距離zの地球内部にいるとし
地球からの距離rの物質を考えると
zより上の物質(r > z)が及ぼす重力は釣り合って0
になるという事が分かります
ただし、自分より上の物質は下の物質の重力により
引っ張られているのでトンネルが無ければ
自分は圧力で押しつぶされます
(地球内部は高温高圧になります)
地上にいて、自分の上に60kgの重りが
乗っているとき、自分が地球に引かれる
力が重力で、重りが自分を押す力が圧力
です
地球内部で押しつぶされるのは、自分に対する
重力ではなく、圧力によるものです
よってzより下の物質が及ぼす重力のみ考えれば
良いことになります
半径zの球の表面の重力加速度aは
半径Rの地球の重力加速度gを使って
g = GM/R2 (万有引力定数G,地球の質量M)
a = GM(z3/R3)/z2 = zGM/R2 / R
= g(z/R)
となり
z = R(地表)でa = g
z = 0(中心)でa = 0
になり、間はzに比例します
ここでa,gは大きさを表し、
方向は考えていません
地球の中心を通る真空トンネル(空気抵抗なし)
を開通させて、入ると、
中心からの距離に比例した向心力を受けるので
単振動することになります
角速度ω, 振幅A, 時間t, 変位x
単振動の位置x = Asinωt
単振動の速度v = dx/dt = ωAcosωt
単振動の加速度a = dv/dt = -ω2Asinωt
= -ω2x
トンネル内の加速度a = -g(z/R) (方向有の式)
x,zは中心からの距離で同じなので
ω = √(g/R)
周期T = 2π/ω = 2π√(R/g)
R ≒ 6.3×106 m, g ≒ 9.8 m/s2 より
T = 5037.… 秒 = 83.95 分
≒ 84分 (往復)
空気抵抗や摩擦抵抗などがあれば
どんどん振幅が小さくなり
最終的に中心で止まります
万有引力(N)=質量(kg)×重力加速度(m/s2)です
重力や体重は万有引力と遠心力の合力ですが
遠心力の影響は、赤道と北極で
1%にも満たない差なので無視しても
大した影響ではないと思います
または、北極から南極までのトンネルで
考えれば良いと思います
地球の中心部は高温高圧なので
耐圧耐熱トンネルが無ければ
圧死、熱死するでしょう
多分実現不可能なトンネルです
理論的なお遊びだと思って
気楽に遊んで見て下さい
表示内容
速度と加速度の表示(上向きが正)
ω = √(g/R)
R ≒ 6.3×106 m, g ≒ 9.8 m/s2
速度はωt = 0 (,π)の時、絶対値最大
A = Rなので
v = ωAcosωt
= ωA = R√(g/R) = √(gR)
≒ 7857 m/s
≒ 2万8千 km/h (, -2万8千 km/h)
加速度はωt = π/2 (,3π/2)の時、絶対値最大
A = Rなので
v = -ω2Asinωt
= -ω2A = -Rg/R = -g
≒ -9.8 m/s2 (, 9.8 m/s2)
NL-BASICとblg~.zip(earth001.bas)は
このブログ(以下のリンク)からダウンロードできます
https://ulprojectmail.blogspot.com
Readme.txtを読んで遊んで下さい